Penting 20+ Puisi Tentang Gunung 3 Bait
Poin pembahasan Penting 20+ Puisi Tentang Gunung 3 Bait adalah :
Penting 20+ Puisi Tentang Gunung 3 Bait. gambar alam pedesaan adalah tempat terindah yang di berikan oleh sang maha kuasa kepada makhluknya. Semua tentang gambar alam pedesaan ini adalah gambaran betapa indahnya alam yang ada di seluruh dunia. Kamu harus bersyukur hidup di dunia yang indah ini karena kamu di beri anugerah untuk melihat betapa indahnya gambar alam pedesaan yang ada di seluruh penjuru dunia maupun gambar alam pedesaan yang berada di lingkungan sekitar kita.Penting 20+ Puisi Tentang Gunung 3 Bait berikut ini gambar dan foto gambar alam pedesaan

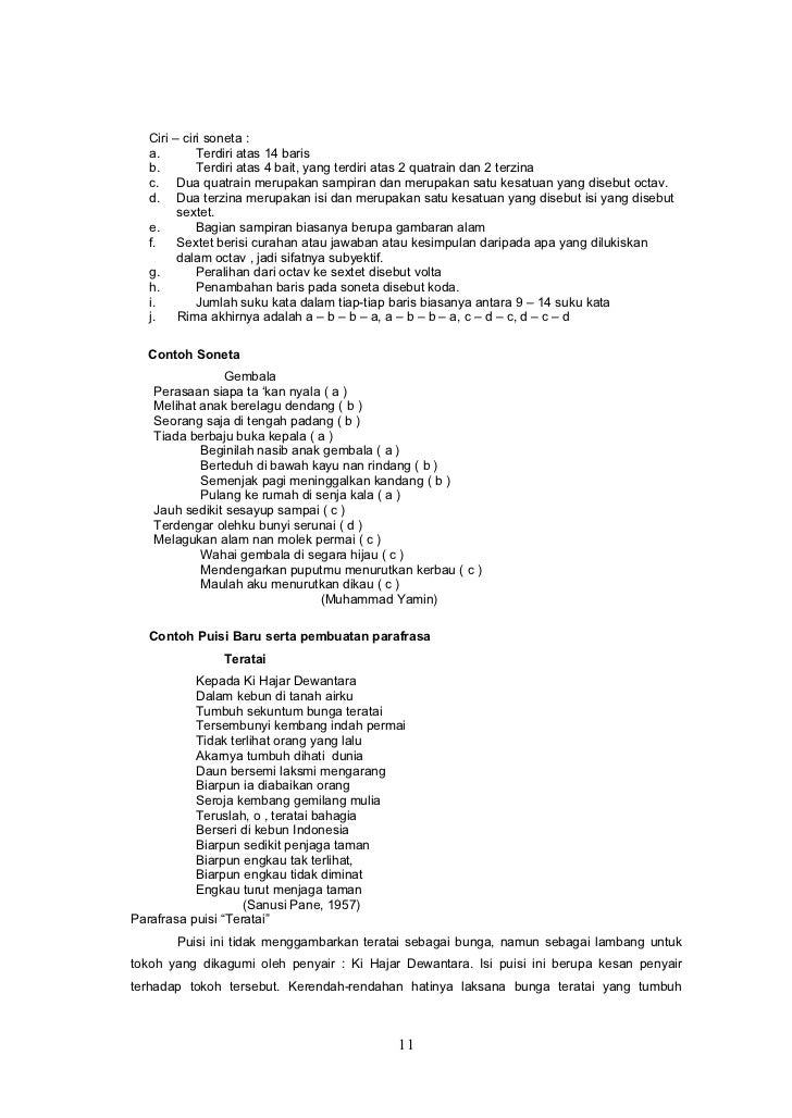
MODUL PUISI DAN MAJAS Sumber www.slideshare.net

Puisi lama dan baru Sumber slideshare.net

3 Contoh puisi bertema lingkungan hidup 4 bait aj Sumber brainly.co.id

PPT Teks Hasil Observasi Kelas 7 Sumber www.slideshare.net

MODUL PUISI DAN MAJAS Sumber www.slideshare.net

10 puisi alissa h xipa4 4 Sumber www.slideshare.net

Puisi Sumber www.slideshare.net

Derai Derai Cemara JURNALREPORTER Sumber jurnalreporter.wordpress.com

Kucing Gunung dan Guru Halaman Kanak Sumber halamankanak.wordpress.com

VergilTreadway s blog Sumber vergiltreadway.typepad.com

Contoh puisi lama Sumber slideshare.net

160 best Puisi images on Pinterest Sumber www.pinterest.com

Kumpulan puisi dan unsur intrinsiknya Sumber www.slideshare.net

37 Contoh Puisi Pendek lama Baru Ibu Guru Sumber contoh.pro

50 Kumpulan Contoh Puisi Pendek Lama Baru kontemporer Sumber bukubiruku.com

Puisi pendek 3 bait tentang keindahan gunung Kumpulan Sumber puisi-cinta.net

3 Contoh puisi bertema lingkungan hidup 4 bait aj Sumber brainly.co.id

Contoh Pantun Lingkungan Alam Contoh Tiga Sumber contohtiga.blogspot.com

Puisi GUNUNG MENYAPA LAUTAN Karya Anwari WMK ANWARI WMK Sumber anwariwmk.wordpress.com

Puisi untuk ibu Sumber www.slideshare.net

TEKS PUISI BELAJAR BAHASA INDONESIA Sumber irenmutiara.wordpress.com

KataHampaz Sumber katahampaz.blogspot.com

1 Apakah judul puisi tersebut 2 coba buatlah judul lain Sumber brainly.co.id
.png)
aksara puisi kulukiskan behamburan di darat laut udara Sumber ruangpekerjaseni.blogspot.com

Pelajaran Bahasa Indonesia Puisi Sumber andikws.blogspot.com

sesame street Puisi Tentang Gunung Merapi Daman Surachman Sumber sesamestreet202.blogspot.com

Puisi Untuk Guru veronika74 Sumber veronika74.wordpress.com

Kata Kata Mutiara dan Puisi Ungkapan Jiwa Kehidupan orang Sumber kalimatjiwa.blogspot.co.id

Puisi by abu ja far Sumber www.slideshare.net

Kumpulan Puisi Cinta Terbaru Ngulas blogspot com Sumber ngulas.blogspot.com

PUISI GUNUNG SEPIKUL Herma Putra Blog Sumber herma-putra.blogspot.com

Gambar Ryanggraini Puisi Alam Burung Berkicau Merdu Embun Sumber rebanas.com

Antuk Puisi Mapinunas Dumogi Gunung Agung N nten Kroda Sumber www.suarasakingbali.com

75 Kumpulan Contoh Puisi Guru Singkat Menyentuh Hati Sumber santaidamai.com

Puisi Tentang Alam Catatan Pendaki Gunung Sumber argopura.blogspot.com
puisi tentang gunung 2 bait, puisi keindahan alam 3 bait, puisi tentang gunung 4 bait, contoh puisi tentang gunung 5 bait, puisi gunung 3 bait 4 baris, puisi tentang alam 3 bait 4 baris, puisi tentang alam pedesaan, contoh puisi bertema lingkungan 3 bait,
Penting 20+ Puisi Tentang Gunung 3 Bait. gambar alam pedesaan adalah tempat terindah yang di berikan oleh sang maha kuasa kepada makhluknya. Semua tentang gambar alam pedesaan ini adalah gambaran betapa indahnya alam yang ada di seluruh dunia. Kamu harus bersyukur hidup di dunia yang indah ini karena kamu di beri anugerah untuk melihat betapa indahnya gambar alam pedesaan yang ada di seluruh penjuru dunia maupun gambar alam pedesaan yang berada di lingkungan sekitar kita.Penting 20+ Puisi Tentang Gunung 3 Bait berikut ini gambar dan foto gambar alam pedesaan

MODUL PUISI DAN MAJAS Sumber www.slideshare.net
Puisi pendek 3 bait tentang keindahan gunung Kumpulan
Puisi pendek 3 bait tentang keindahan gunung puisi tema alam pegunungan puisi pendek tentang gunung puisi tentang gunung dan hutan

Puisi lama dan baru Sumber slideshare.net
Puisi Tentang Keindahan Pantai 3 Bait keajaibandunia web id
ULASAN puisi tentang keindahan pantai 3 bait Loading Beragam Pantai yang Mempesona di Gunung Kidul Bahkan mereka pun yang sering membuat puisi ketika diminta membuatkan puisi tentang gunung meletus Kepulauan Derawan Salah Satu Tujuan Tempat Eksotis di Berau

3 Contoh puisi bertema lingkungan hidup 4 bait aj Sumber brainly.co.id
buatlah puisi tentang pegunungan minimal 3 bait
Buatlah puisi tentang pegunungan minimal 3 bait 117410 1 Masuk Daftar 1 Masuk Daftar Sekolah Menengah Pertama B indonesia 5 poin Buatlah puisi tentang pegunungan minimal 3 bait Tanyakan detil pertanyaan Ikuti tidak puas sampaikan dari Pinkanjanuari 05 04 2014 Masuk

PPT Teks Hasil Observasi Kelas 7 Sumber www.slideshare.net
3 Contoh Puisi 3 Bait tentang Alam dalam Bahasa Indonesia
23 12 2019 Contoh puisi dalam 3 bait sudah pernah dibahas di artikel sebelumnya Adapun artikel artikel yang memuat puisi tersebut antara lain contoh puisi 3 bait tentang Ibu dan contoh puisi 3 bait tentang sahabat Artikel kali juga akan menampilkan contoh puisi 3 bait yang ditampilkan dengan tema khusus yaitu alam

MODUL PUISI DAN MAJAS Sumber www.slideshare.net
Puisi Keindahan Alam Pantai 3 Bait keajaibandunia web id
ULASAN puisi keindahan alam pantai 3 bait Loading Beragam Pantai yang Mempesona di Gunung Kidul Bahkan mereka pun yang sering membuat puisi ketika diminta membuatkan puisi tentang gunung meletus Keajaiban Sebelum Adam Allah telah Menciptakan Manusia dan

10 puisi alissa h xipa4 4 Sumber www.slideshare.net
Contoh puisi tentang keindahan alam 3 bait Brainly co id
Contoh puisi tentang keindahan alam 3 bait 9100947 1 Masuk Daftar 1 Masuk Daftar Sekolah Dasar B indonesia 8 poin Contoh puisi tentang keindahan alam 3 bait Tanyakan detil pertanyaan Ikuti tidak puas sampaikan dari Difalia 22 01 2019 Masuk untuk menambahkan komentar

Puisi Sumber www.slideshare.net
Puisi Pegunungan 3 Bait Kumpulan puisi puisi
Puisi pendek 3 bait tentang keindahan gunung di pegunungan dengan begitu mungkin kegundulan gunung diharapkan tidak akan terjadi Kumpulan puisi tema gunung terbaru 2019 Tentang Gunung Engaku berdiri dengan gagahnya Menancap kedasar bumi dengan tajam Mencengkram tanah

Derai Derai Cemara JURNALREPORTER Sumber jurnalreporter.wordpress.com
Puisi 3 Bait Tentang Alam yang wajib diketahui Edukasi
Berikut adalah Puisi 3 Bait tentang alam kita yang sangat indah dan menenangkan serta menyejukkan jiwa Untuk kamu yang ingin memahami apa itu puisi serta bagaimana cara membaca puisi yang benar silahkan baca artikel ini Di bawah ini adalah puisi yang berjudul Alam Ku sebanyak 3 bait

Kucing Gunung dan Guru Halaman Kanak Sumber halamankanak.wordpress.com
Pengertian dan Contoh Puisi 3 Bait tentang Alam
Demikianlah beberapa contoh dari 3 bait bait tentang alam di Indonesia Jika pembaca ingin mengetahui beberapa contoh puisi lainnya pembaca dapat membuka artikel seperti puisi pendek contoh puisi epigram contoh puisi nyanyian pujian contoh puisi balada contoh puisi keanggunan dan contoh romansa puisi

VergilTreadway s blog Sumber vergiltreadway.typepad.com
Puisi Pendek 3 Bait Guruku Kumpulan Contoh Puisi
05 06 2019 Puisi Pendek 3 Bait Guruku Meski banyak juga guru yang bermuka dua dan tak bertanggung jawab namun sebagian besar guru memang memberikan arti yang begitu besar pada kehidupan seseorang Guru yang benar benar mendidik dan mengajar memang orang yang patut untuk diberikan penghargaan sebesar besarnya

Contoh puisi lama Sumber slideshare.net

160 best Puisi images on Pinterest Sumber www.pinterest.com
Kumpulan puisi dan unsur intrinsiknya Sumber www.slideshare.net

37 Contoh Puisi Pendek lama Baru Ibu Guru Sumber contoh.pro

50 Kumpulan Contoh Puisi Pendek Lama Baru kontemporer Sumber bukubiruku.com
Puisi pendek 3 bait tentang keindahan gunung Kumpulan Sumber puisi-cinta.net

3 Contoh puisi bertema lingkungan hidup 4 bait aj Sumber brainly.co.id
Contoh Pantun Lingkungan Alam Contoh Tiga Sumber contohtiga.blogspot.com

Puisi GUNUNG MENYAPA LAUTAN Karya Anwari WMK ANWARI WMK Sumber anwariwmk.wordpress.com

Puisi untuk ibu Sumber www.slideshare.net

TEKS PUISI BELAJAR BAHASA INDONESIA Sumber irenmutiara.wordpress.com

KataHampaz Sumber katahampaz.blogspot.com

1 Apakah judul puisi tersebut 2 coba buatlah judul lain Sumber brainly.co.id
.png)
aksara puisi kulukiskan behamburan di darat laut udara Sumber ruangpekerjaseni.blogspot.com

Pelajaran Bahasa Indonesia Puisi Sumber andikws.blogspot.com

sesame street Puisi Tentang Gunung Merapi Daman Surachman Sumber sesamestreet202.blogspot.com

Puisi Untuk Guru veronika74 Sumber veronika74.wordpress.com

Kata Kata Mutiara dan Puisi Ungkapan Jiwa Kehidupan orang Sumber kalimatjiwa.blogspot.co.id

Puisi by abu ja far Sumber www.slideshare.net

Kumpulan Puisi Cinta Terbaru Ngulas blogspot com Sumber ngulas.blogspot.com

PUISI GUNUNG SEPIKUL Herma Putra Blog Sumber herma-putra.blogspot.com

Gambar Ryanggraini Puisi Alam Burung Berkicau Merdu Embun Sumber rebanas.com

Antuk Puisi Mapinunas Dumogi Gunung Agung N nten Kroda Sumber www.suarasakingbali.com

75 Kumpulan Contoh Puisi Guru Singkat Menyentuh Hati Sumber santaidamai.com

Puisi Tentang Alam Catatan Pendaki Gunung Sumber argopura.blogspot.com
0 Komentar